
Redux-toolkit이란?
리덕스를 개량한 것이라고 생각하면 쉽다. 리덕스를 사용하기 위해 작성했던 ducks 패턴의 요소들이 전체적인 코드의 양을 늘린다는 개발자들의 불만이 발생하기 시작했고, 리덕스 팀에서는 이것을 수용하여 코드는 더 적게, 그리고 리덕스를 더 편하게 쓰기 위한 기능들을 흡수해서 만든 것이 리덕스툴킷 입니다. 줄여서 RTK 라고도 합니다.
json-server란?
아주 간단한 DB와 API 서버를 생성해주는 패키지.
우리가 json-server를 사용하는 이유는 Backend(이하 BE)에서 실제 DB와 API Server가 구축될 때까지 Frontend(이하 FE) 개발에 임시적으로 사용할 mock data를 생성하기 위함
json-server를 통해서 FE에서는 BE가 하고 있는 작업을 기다리지 않고, FE의 로직과 화면을 구현 할 수 있어 효율적으로 협업을 할 수 있다.
Axios란?
공식문서에 따르면 axios 란 node.js와 브라우저를 위한 Promise 기반 http 클라이언트 라고 소개하고 있다.
다시 말해 http를 이용해서 서버와 통신하기 위해 사용하는 패키지라고 생각하면 된다.
Redux Thunk란?
리덕스에서 많이 사용하고 있는 미들웨어중에 하나
thunk를 사용하면 우리가 dispatch를 할때 객체가 아닌 함수를 dispatch 할 수 있게 해준다. 즉 dispatch(객체) 가 아니라 dispatch(함수)를 할 수 있게 되는 것이다.
그래서 중간에 우리가 하고자 하는 작업을 함수를 통해 넣을 수 있고, 그것이 중간에 실행이 되는 것. 그래서 아래 흐름과 같이 실행이 되는거죠. 그리고 이 함수를 thunk 함수라고 부릅니다.
dispatch(함수) → **함수실행** → 함수안에서 dispatch(객체)
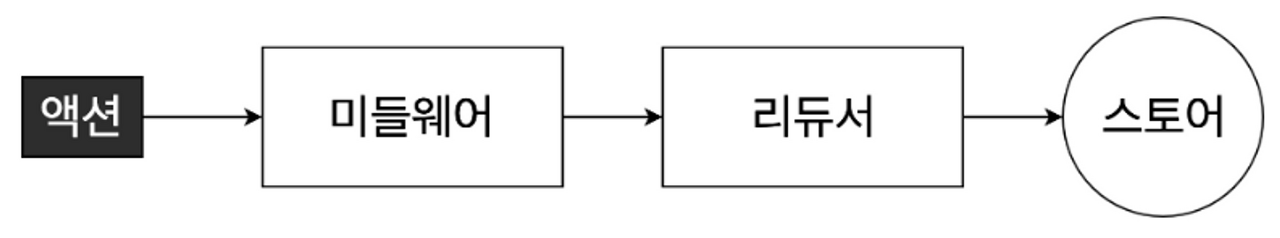
미들웨어란?

리덕스에서 dispatch를 하면 action 이 리듀서로 전달이 되고, 리듀서는 새로운 state를 반환한다.
그런데 미들웨어를 사용하면 이 과정 사이에 우리가 하고 싶은 작업들을 넣어서 할 수 있다.
만약 counter 프로그램에서 더하기 버튼을 클릭했을 때 바로 +1를 더하지 않고 3초를 기다렸다가, +1이 되도록 구현하려면 미들웨어를 사용하지 않고서는 구현할 수 없다. 왜냐하면 dispatch가 되자마자 바로 action이 리듀서로 달려가서 새로운 state를 반환해버리기 때문이죠. 즉 여기서 “3초를 기다리는 작업" 이 작업을 미들웨어가 해주는 것 입니다.
보통 우리가 리덕스 미들웨어를 사용하는 이유는 서버와의 통신을 위해서 사용하는 것이 대부분이고, 또한 그 중에서도 많이 사용되고 있는 리덕스 미들웨어는 Redux-thunk 라는 것이 있다.
------ 내가 이해해서 설명가능했던 부분
-json-server : 간이은행
-axios: 은행창구직원(인출(삭제), 입금(저장), 잔액확인(조회), 통장정리(update=patch)

'매일 해내는 개발 > React' 카테고리의 다른 글
| [React] Next.js란 무엇이고 왜 사용하는가 (0) | 2023.02.07 |
|---|---|
| [React] useParam (0) | 2023.01.24 |
| Redux로 투두리스트 만들기 문제 해결 (0) | 2022.12.20 |
| [React] Redux, React-router-dom으로 TodoList만들기 (1) | 2022.12.15 |
| [React] Todo리스트 Redux로 만들기 (0) | 2022.12.14 |
댓글